Fracciones Algebraicas Ejercicios Resueltos Bachillerato
Ejercicios y problemas resueltos de fracciones algebráicas. Ejercicios y problemas resueltos sobre el valor verdadero de fracciones.

Multiplicacion Y Division De Fracciones Algebraicas Ejercicios Resueltos
Ejercicios y problemas resueltos de operaciones con fracciones algebráicas.

Fracciones algebraicas ejercicios resueltos bachillerato. Ejercicios y problemas resueltos de fracciones equivalentes. Ejercicios y problemas resueltos de operaciones con fracciones algebráicas. Ejercicios y problemas resueltos sobre simplificación de fracciones algebráicas.
Ejercicios y problemas resueltos sobre simplificación de fracciones. Ejercicios y problemas resueltos de fracciones algebráicas.

Multiplicacion Y Division De Fracciones Algebraicas Ejercicio 1 Youtube

Ejercicios Resueltos De Fracciones Algebraicas Operaciones Con Fracciones Algebraicas Fracciones Equivalentes Valor Verdadero Error Algebraico

Suma Y Resta De Fracciones Algebraicas Ejercicios Resueltos
Problemas Resueltos 3º Eso Fracciones Algebraicas

Ejercicios De Matematicas De Fracciones Algebraicas Conocimientos Generales

Ejercicios Resueltos De Fracciones Algebraicas Superprof

Ejercicios Resueltos De Fracciones Algebraicas Superprof

Fracciones Algebraicas Ejercicios Resueltos Pdf

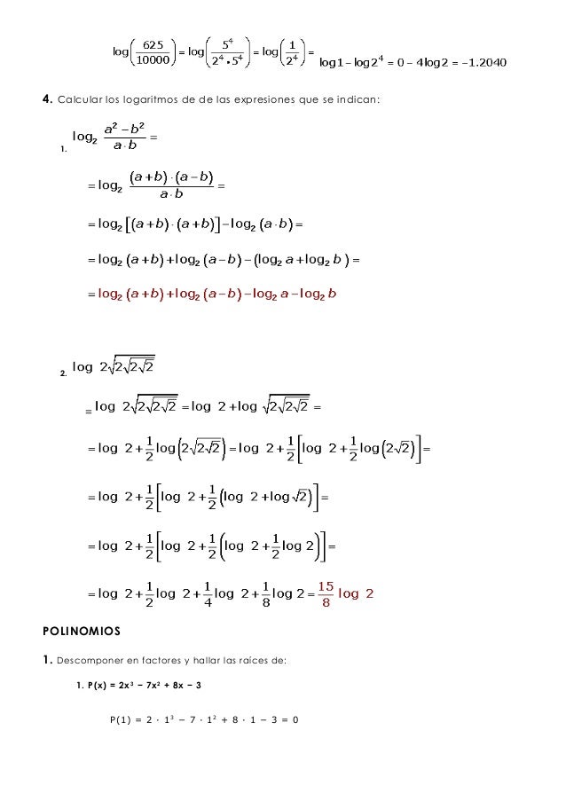
Ejercicios Resueltos De Fracciones Algebraicas Logaritmos Y Polinomi
Https Matematicasfisicaquimica Com Ejercicios Resueltos Simplificacion Fracciones Algebraicas Matematicas Secundaria

Matematicas Expresiones Algebraicas Fraccionarias Expresiones Algebraicas Matematicas Expresiones

Ejercicios Resueltos De Fracciones Algebraicas Logaritmos Y Polinomi

Fracciones Algebraicas Operaciones Fracciones Expresiones Algebraicas Fracciones Decimales
.gif)
Expresiones Algebraicas Ejercicios Resueltos Matematicas 1 Bachillerato

Ejercicios Resueltos De Fracciones Algebraicas Operaciones Con Fracciones Algebraicas Fracciones Equivalentes Valor Verdadero Error Algebraico

Ejercicios Resueltos De Fracciones Algebraicas Operaciones Con Fracciones Algebraicas Fracciones Equivalentes Valor Verdadero Error Algebraico

Ejercicios Resueltos De Fracciones Algebraicas Logaritmos Y Polinomi

Polinomios Y Fracciones Algebraicas Matematicas Sin Fin

Ejercicios Resueltos De Fracciones Algebraicas Fractions Worksheets Fractions Worksheets
Posting Komentar untuk "Fracciones Algebraicas Ejercicios Resueltos Bachillerato"