Recta Tangente A Una Curva En Un Punto Ejercicios Resueltos
Por otro lado la pendiente de la recta tangente a un punto de una función coincide con el valor de la derivada de la función en ese punto. Por lo que derivando la función de la curva y sustituyendo por el valor de x del punto donde es tangente la curva.

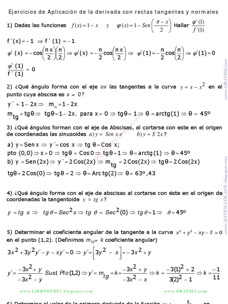
Ecuacion De La Recta Tangente Y Normal Aplicando Derivadas Ejercicios Resueltos Pdf


Como Calcular La Recta Tangente A Una Curva En Un Punto Ejercicios Resueltos Paso A Paso Youtube
.gif)
Ecuacion De La Recta Tangente Y Normal Aplicando Derivadas Ejercicios Resueltos Pdf
.gif)
Ecuacion De La Recta Tangente Y Normal Aplicando Derivadas Ejercicios Resueltos Pdf

Ejemplo Resuelto Pensando En La Pendiente De La Recta Tangente Calculo Khan Academy En Espanol Youtube

Ecuacion De La Recta Tangente Y Normal Aplicando Derivadas Ejercicios Resueltos Pdf

Problemas Recta Tangente A Una Funcion Youtube
5 Recta Tangente Y Recta Normal Diseno Y Construccion De Puentes

Recta Tangente Y Normal Formulas Trucos Y Ejercicios Resueltos

Problemas Resueltos De Rectas Tangentes Y Normales Pdf Free Download
2 6 Rectas Tangentes Y Normales Pesca Usil 2016

Recta Tangente Y Normal De Una Funcion En Un Punto 2 Youtube

Recta Tangente Y Normal A Una Curva En Un Punto Geogebra
.gif)
Ecuacion De La Recta Tangente Y Normal Aplicando Derivadas Ejercicios Resueltos Pdf
Recta Normal A Una Curva En Un Punto

Recta Tangente A Una Curva En Un Punto

Rectas Tangente Y Normal A La Curva Ejercicios Resueltos Matematicas Udocz

Recta Tangente A Una Curva Y Recta Normal Matematicas Con Mucho Truco
Derivadas Ejercicios Resueltos Y Aplicaciones Nxpowerlite Pdf Tangente Pendiente

Pendiente De La Recta Tangente A La Curva Calculo Mediante Limites Ejercicios Resueltos
Posting Komentar untuk "Recta Tangente A Una Curva En Un Punto Ejercicios Resueltos"