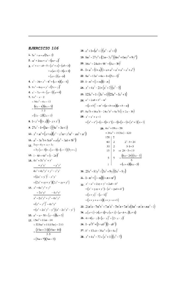
Algebra De Baldor Ejercicio 106
Enunciados y enlaces a las soluciones de los problemas del Ejercicio 106. Solución en imagen y o video de los ciento treinta y cuatro problemas del Ejercicio.

Algebra De Baldor Ejercicio 106 Literales Del 39 Al 70 Gatitatv Youtube
Matemáticas de la U MatU Home Algebra de Baldor Índice temático Lista de Ejercicios 106.

Algebra de baldor ejercicio 106. ALGEBRA DE BALDOR EJERCICIOS RESUELTOS 106 PDF - ejercicios-resueltos-de-el-algeb Una deuda se expresa en sentido EJERCICIO Ejercicio del Algebra de Baldor los 10 casos de.
![]()
Respuestas Al Algebra De Baldor By Vitaliano Ricardo Issuu

Ejc 106 Miscelanea Factorizaci Sup3 N Algebra

Necesito Que Me Ayuden A Reconocer El Ejercicio 106 Desde El 39 Hasta El 134 Caso Por Caso Por Favor

Video 69 Factorizacion Solucion Miscelanea Ejercicio 106 Del Algebra De Baldor Paginas 171 Y 172 By

Solucion Al Ejercicio 106 128 Del Algebra De Baldor Youtube

Video 40 Factorizacion Solucion Miscelanea Ejercicio 106 Del Algebra De Baldor Paginas 171 Y 172 Youtube

Video 82 Factorizacion Solucion Miscelanea Ejercicio 106 Del Algebra De Baldor Paginas 171 Y 172 By Gabriel Hoyos
Algebra Ejercicios 106 Solucion De Todos Los Ejercicios Propuestos
Aritmetica De Baldor Pagina 106

Ejercicio 106 De Algebra Baldor Con Sus Respectivos Casos Brainly Lat

Ejercicio 106 Del Algebra De Baldor Resueltos Sobre Los 10 Casos De Factorizacion Algebra Algebra Baldor Blog De Matematicas
26428704 Ejc 106 Miscelanea Factorizacion Algebra Pdf

Ejc 106 Miscelanea Factorizacion Algebra Algebra Paginas De Matematicas Algebra Baldor



Posting Komentar untuk "Algebra De Baldor Ejercicio 106"