5x 8 2x 4
We move all terms containing x to the left and all other terms to the. Get step-by-step solutions from expert tutors as fast as 15-30 minutes.

5x 8 2x 4 Cual Es Es Resultado De La Siguiente Ecuacion Brainly Lat
Simplifying 2x 4 5x 8 Reorder the terms.

5x 8 2x 4. 4 2x 8 5x Solving 4 2x 8 5x Solving for variable x. 4 2x 5x 8 Reorder the terms. We simplify the equation to the form which is simple to understand.
Tiger shows you step by step how to Isolate x Or y or z in a formula 25x82x-4 and Solve Your. Solution for 5x-82x-4 equation. Solution for 2x45x8 equation.
5 2y 3 2 12 3 5x 4 5x 8 4 2 X 5 Chegg Com

5x 8 3 1 2x 4 Please Answer The Question Brainly In
Solved Algebra Lmnp Is A Rectangle Find The Value Of X And The Length Of Each See Problem 3 Diagonal Ln X And Mp 2x 4 19 Ln 5x 8 And Course Hero

Differentiate F X 5x 8 2x 4 O A F X Chegg Com

If 5x 4 3x 8 Gt 39 8 And 2x 1 12 X 1 3 Lt 3x 1 4 Then X Belongs To The Internal

Consider This Equation 2x 4 5x 8 Generate A Plan To Solve For The Variable Describe The Steps Brainly Ph

Himpunan Penyelesaian Dari 2x 4 5x 8 Adalah Brainly Co Id

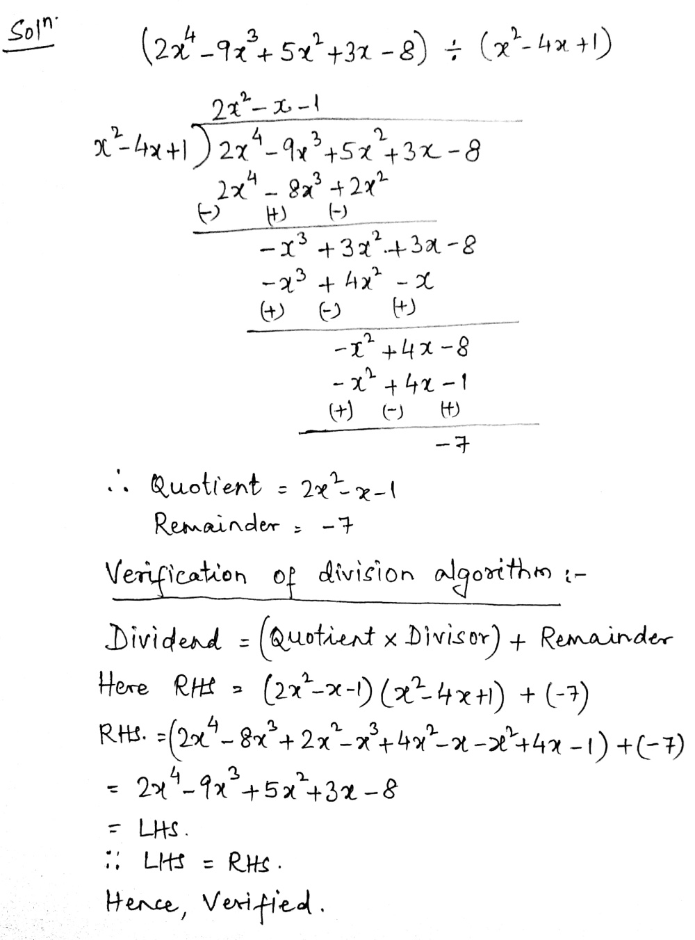
Divide 2x 4 9x 3 5x 2 3x 8 By X 2 4x 1 And Verify The Division Algorithm Snapsolve

7 42 Perform The Indicated Operations And Simplify Chegg Com

Systems Of Equations With Substitution Y 5x 8 10x 2y 2 Video Khan Academy
Http Www Jessamine K12 Ky Us Userfiles 1729 Classes 25844 Day 204 20 20simplifying 20expressions Pdf

What Is 3x 4 2x 3 5x 2 4 Divided By X 2 Socratic

Divide 2x 4 9x 3 5x 2 3x 8 By X 2 4x 1 And Verify The Division By Algorithm

2x 1 3 5x 8 4 Menor Igual 1 Youtube

View Question What X Equals To 2x 4 5x 8

Tutorial On Basic Mathematics Q 1 A Ii

Objective To Solve Equations With The Variable In Both Sides Solve 2x 4 5x X 4 3x 3x 3 7 X 5x 3x 4 Ppt Download

Objective To Solve Equations With The Variable In Both Sides Solve 2x 4 5x X 4 3x 3x 3 7 X 5x 3x 4 Ppt Download

Posting Komentar untuk "5x 8 2x 4"