Ejercicios De Integrales Indefinidas Resueltos Paso A Paso
EJERCICIOS RESUELTOS DE INTEGRAL DEFINIDA 5. Ejercicios de integrales indefinidas resueltos paso a paso.
Ejercicios Resueltos Por Sustitucion Trigonometrica Itt Calculo Integral Logistica S2
Bueno y que esper an a baj ar y t r abaj ar y suer t e en l os cont r ol es Para FMAT.
.gif)
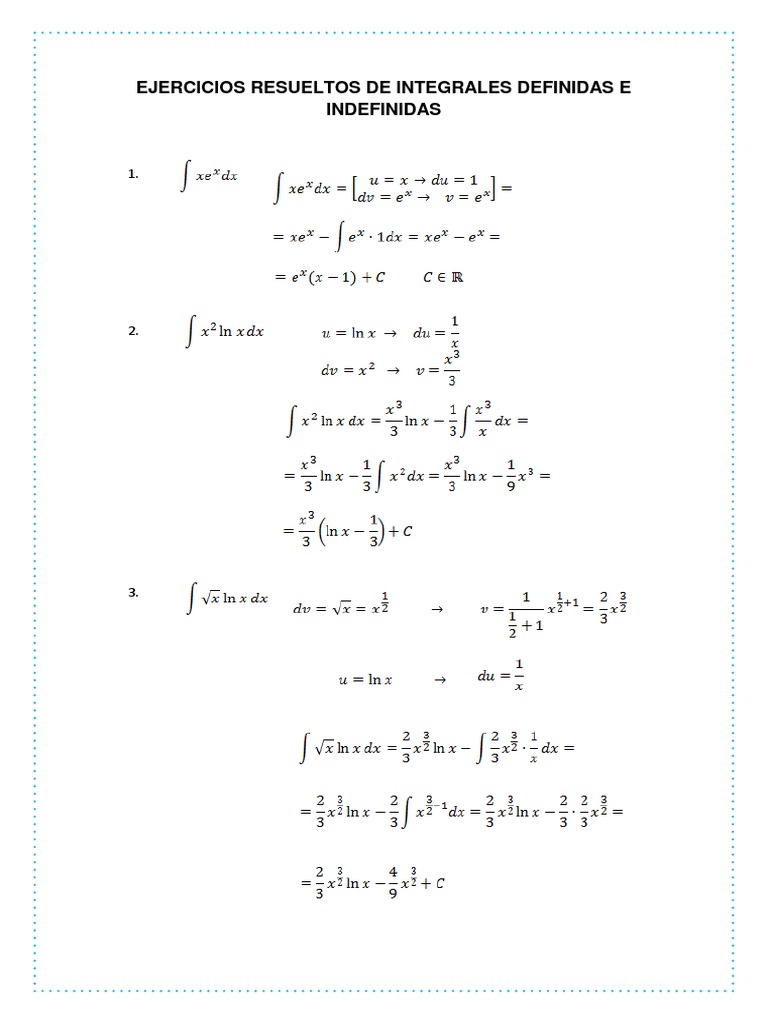
Ejercicios de integrales indefinidas resueltos paso a paso. Unas poqui t as i nt egr al es que encont r e por ahi por Pi cosenot het a. En este contexto el buen uso que se haga del mismo llevará a hacer una realidad el sabio principio que unifica la teoría con la práctica. De problemas referentes a modelos matemáticosEsperamos que disfruten de la segunda edición de 250 Ejercicios Resueltos de Integrales indefinidas con aplicaciones de.
De complementación para la práctica indispensable en el tópico relativo a las integrales indefinidas. Calcular las siguientes integrales definidas. El trabajo compartido de los autores de 801 ejercicios resueltos.
2a 3 2 2 xdx b 4 1 3 2xx dx x c 1 0 2 x dx x d π π 2 2 sen x dx e 3 0 2 51 dx x Solución a 3 2 2 xdx 2 4 2 4 x 2244 44 0 En primer lugar se ha calculado una primitiva de.

Calculo Integral Impm Ejercicios Resueltos

Integrales Inmediatas Ejercicios Resueltos Trucos

250 Ejercicios Resueltos De Integrales Indefinidas Incluye Fundamento Teorico Incluye Fundamento Teorico Serie Coronel Spanish Edition Coronel Perez Pedro Pablo Coronel Lopez Pablo Josue Coronel Lopez Pedro Alberto 9789801285618 Amazon

Pdf Telecharger Integrales Indefinidas Calculadora Gratuit Pdf Pdfprof Com

Como Hacer Integrales Paso A Paso Y Ejercicios Resueltos

Integrales Indefinidas Trigonometricas Math Quotes Studying Math Physics And Mathematics
.gif)
Integrales Indefinidas Ejercicios Resueltos Matematicas 1 Bachillerato Pdf
.gif)
Pdf Telecharger Integral Definida Ejercicios Resueltos Y Propuestos Gratuit Pdf Pdfprof Com

Ejercicios Resueltos De Integrales Indefinidas

Integrales Racionales Resueltas Trucos Y Ejercicios Resueltos

Varios Ejercicios Resueltos De Integrales Por Partes Pares Del Libro De Stewart 6ta Edicion Youtube

Integrales Inmediatas Ejercicios Resueltos De Integrales Inmediatas

Integrales Indefinidas 04 Exponenciales Inmediatas Youtube

Integrales Desde Cero Curso Con Trucos Y Ejercicios Resueltos Paso A Paso

Integrales Inmediatas Resueltas Metodos De Integracion Calculo De Primitivas Bachillerato

Integrales Inmediatas Resueltas Metodos De Integracion Calculo De Primitivas Bachillerato
.gif)
Integrales Indefinidas Metodos De Integracion Ejercicios Resueltos Matematicas 2 Bachillerato Pdf

Posting Komentar untuk "Ejercicios De Integrales Indefinidas Resueltos Paso A Paso"